| 일 | 월 | 화 | 수 | 목 | 금 | 토 |
|---|---|---|---|---|---|---|
| 1 | 2 | 3 | ||||
| 4 | 5 | 6 | 7 | 8 | 9 | 10 |
| 11 | 12 | 13 | 14 | 15 | 16 | 17 |
| 18 | 19 | 20 | 21 | 22 | 23 | 24 |
| 25 | 26 | 27 | 28 | 29 | 30 | 31 |
- 루비
- plugin
- gradle
- IntelliJ
- OAuth
- kotlin
- ruby
- error
- Android
- Godot
- Shell
- JS
- maven
- Spring
- boj
- Java
- GitHub
- Python
- Vane
- CPP
- react
- 개발노트
- gnuplot
- jetbrains
- Baekjoon
- C
- ruby2d
- rubymine
- RaspberryPi
- OTLanguage
- Today
- Total
PersesTitan(페르) 기술블로그
[Python] 원하는 함수 그래프 출력하기 본문
관련된 글
[Python] sin, cos, tan 그래프 출력하기
[Python] 시그모이드(sigmoid) 함수 그래프 구현하기
[Python] sin, cos, tan 그래프 출력하기
import matplotlib.pyplot 그래프를 출력하는 파이썬 패키지 입니다. show 그래프를 보여줍니다. plot 좌표값을 그리게 됩니다. axvline 파라미터 : (x=위치, color=색깔) 세로 축 라인을 표시하는 라인이 표시
persestitan.tistory.com
[Python] 시그모이드(sigmoid) 함수 그래프 구현하기
관련된 글 [Python] sin, cos, tan 그래프 출력하기 import numpy exp 자연지수 e를 받은 값인 x승의 값을 반환해주는 라이브러리 입니다. 나머지 matplotlib.pyplot, numpy는 상단의 관련된 글에서 확인해주세요.
persestitan.tistory.com
원하는 함수 그래프를 구현하고 싶을때 원하는 함수의 그래프를 구현하는 방법을 작성해보았습니다.
예시

원하는 함수 그래프를 구현하는 방법은 의왜로 간단한데요.
시그모이드 함수 구현하는 블로그에서 def sigmoid(x):메소드를 확인하시면 1 / (1 + np.exp(x))라는 함수 부분이 원하는 함수의 모양을 결정하는 식입니다. 위에 관련된 글 2개를 이해하시고 구현할 수 있다면 해당 부분만 변경하여 아래와 같이 원하는 함수 그래프를 구현할 수 있게 됩니다.
추가 설명 +) np.arange는 sin, cos, tan 그래프에 써져 있는 데로 a에서 b까지의 규칙적인 값을 생성하는 기능이기 때문에 해당 값을 변경하여 원하는 최소값, 최대값을 변경이 가능합니다.
코드
import matplotlib.pyplot as plt
import numpy as np
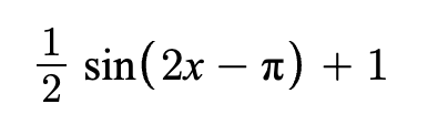
def function(x):
return 1/2 * np.sin(2*x - np.pi) + 1
array = np.arange(-np.pi, np.pi, 0.1)
plt.axvline(x=0, color='r', linestyle='--', linewidth=1)
plt.axhline(y=0, color='r', linestyle='--', linewidth=1)
plt.plot(array, function(array))
plt.show()
출력

'Language > Python' 카테고리의 다른 글
| [Python][GUI] tkinter 사용하기 1(생성 및 title, resizable, geometry, mainloop) (0) | 2023.07.17 |
|---|---|
| [Python] 그래프 함수 이름 넣기 (0) | 2023.04.11 |
| [Python] 시그모이드(sigmoid) 함수 그래프 구현하기 (0) | 2023.04.11 |
| [Python] 파이썬 연립방정식 풀기 (0) | 2023.03.31 |
| [Python] 파이썬 버전 변경 없이 pip install 하기 (0) | 2023.03.23 |